Официальное опубликование правовых актов
ОФИЦИАЛЬНОЕ ОПУБЛИКОВАНИЕ
Постановление Правительства Тверской области от 02.12.2020 № 552-пп
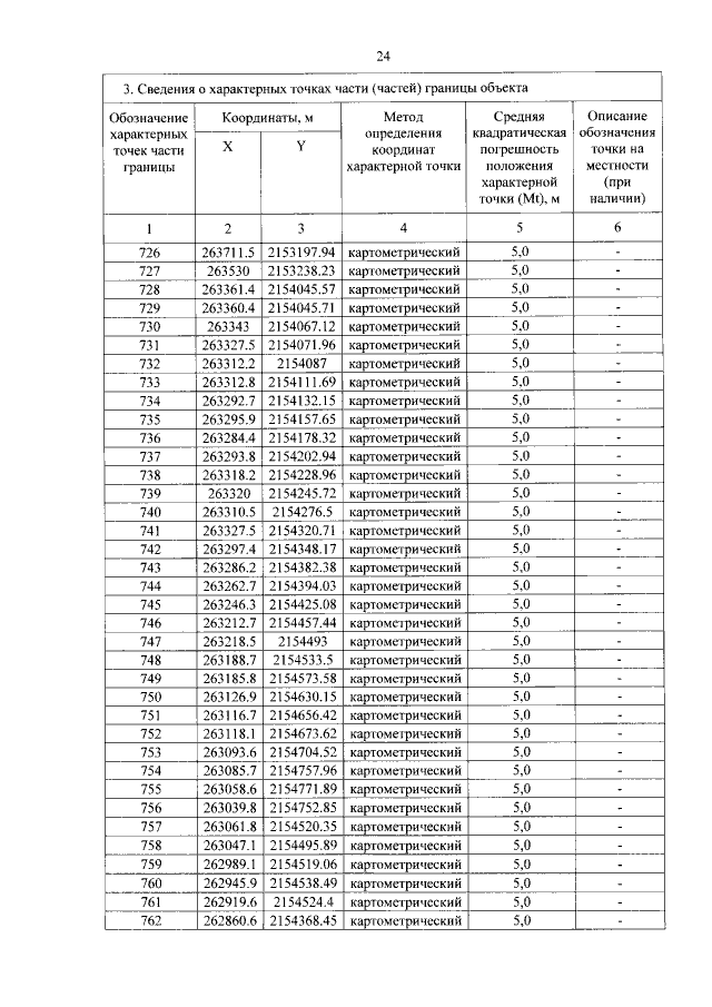
"Об утверждении графического описания местоположения границ особо охраняемой природной территории регионального значения – памятника природы "Бор на Волге у села Шолохово"
Номер опубликования: 6900202012030023
Дата опубликования: 03.12.2020
Страница №24 из 35:
Увеличить