Официальное опубликование правовых актов
ОФИЦИАЛЬНОЕ ОПУБЛИКОВАНИЕ
Постановление Правительства Тверской области от 02.12.2020 № 553-пп
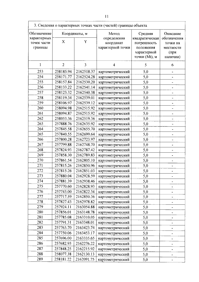
"Об утверждении графического описания местоположения границ особо охраняемой природной территории регионального значения – памятника природы "Лесной массив у села Ильи Горы"
Номер опубликования: 6900202012030020
Дата опубликования: 03.12.2020
Страница №11 из 13:
Увеличить