Официальное опубликование правовых актов
ОФИЦИАЛЬНОЕ ОПУБЛИКОВАНИЕ
Постановление Правительства Тверской области от 02.12.2020 № 554-пп
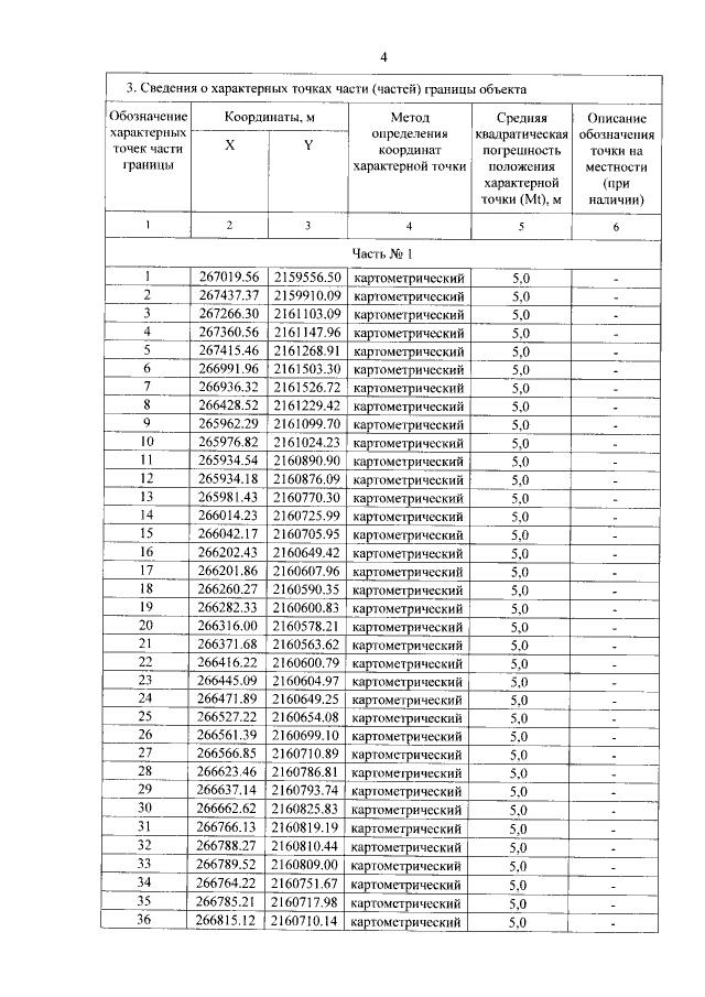
"Об утверждении графического описания местоположения границ особо охраняемой природной территории регионального значения – государственного природного заказника "Водоохранное болото у деревни Сморщево, междуречье рек Марайка и река Малая Коша"
Номер опубликования: 6900202012030016
Дата опубликования: 03.12.2020
Страница №4 из 17:
Увеличить