Официальное опубликование правовых актов
ОФИЦИАЛЬНОЕ ОПУБЛИКОВАНИЕ
Постановление Правительства Тверской области от 02.12.2020 № 565-пп
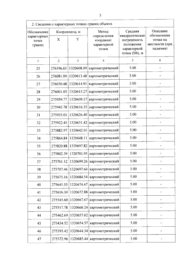
"Об утверждении графического описания местоположения границ особо охраняемой природной территории регионального значения – государственного природного заказника "Лесные насаждения по р. Леменка"
Номер опубликования: 6900202012030012
Дата опубликования: 03.12.2020
Страница №5 из 16:
Увеличить