Официальное опубликование правовых актов
ОФИЦИАЛЬНОЕ ОПУБЛИКОВАНИЕ
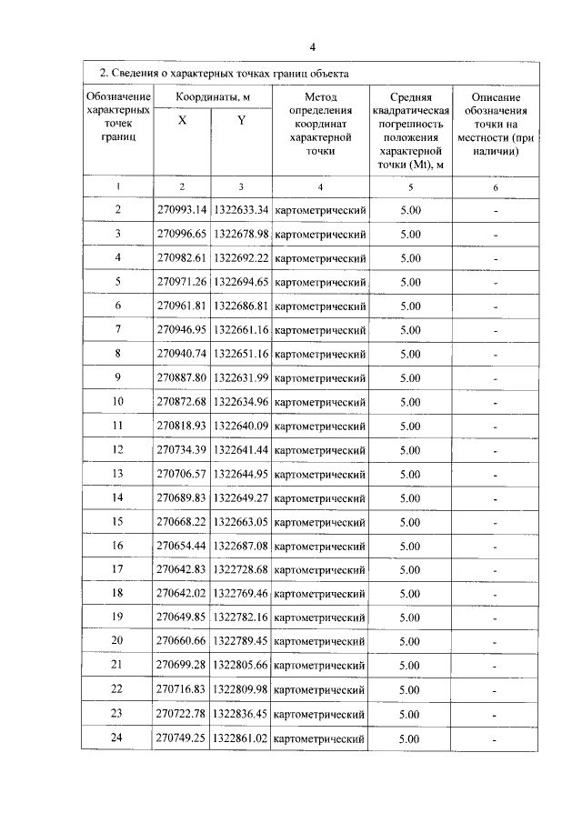
Постановление Правительства Тверской области от 02.12.2020 № 564-пп
"Об утверждении графического описания местоположения границ особо охраняемой природной территории регионального значения – государственного природного заказника "Болото Тимохи"
Номер опубликования: 6900202012030004
Дата опубликования: 03.12.2020
Страница №4 из 12:
Увеличить