Официальное опубликование правовых актов
ОФИЦИАЛЬНОЕ ОПУБЛИКОВАНИЕ
Постановление Правительства Тверской области от 13.11.2020 № 516-пп
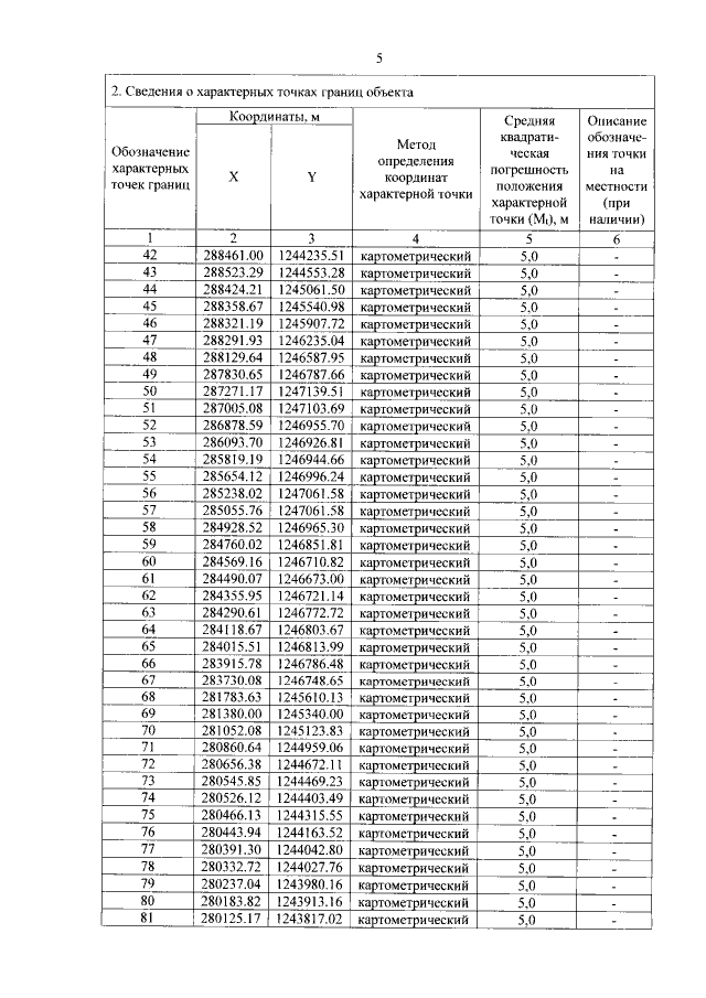
"Об утверждении графического описания местоположения границ особо охраняемой природной территории регионального значения – государственного природного заказника "Болото Лебедевский мох"
Номер опубликования: 6900202011160019
Дата опубликования: 16.11.2020
Страница №5 из 10:
Увеличить