Постановление Правительства Тверской области от 07.10.2020 № 460-пп
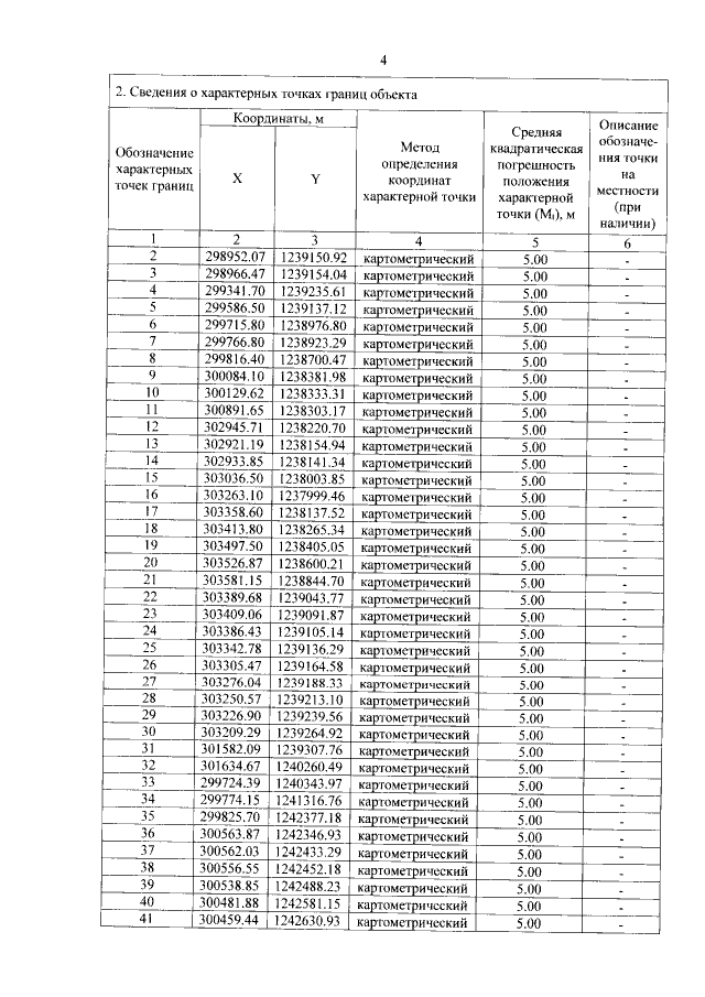
"Об утверждении графического описания местоположения границ особо охраняемой природной территории регионального значения – государственного природного заказника "Болото Студинец"
"Об утверждении графического описания местоположения границ особо охраняемой природной территории регионального значения – государственного природного заказника "Болото Студинец"
Номер опубликования: 6900202010070014
Дата опубликования:
07.10.2020
