Официальное опубликование правовых актов
ОФИЦИАЛЬНОЕ ОПУБЛИКОВАНИЕ
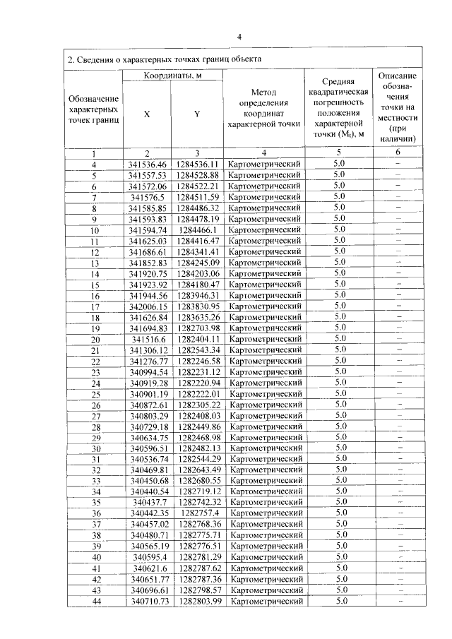
Постановление Правительства Тверской области от 27.07.2020 № 338-пп
"Об утверждении графического описания местоположения границ особо охраняемой природной территории регионального значения – государственного природного заказника "Муравьиный заказник Полновский"
Номер опубликования: 6900202007280006
Дата опубликования: 28.07.2020
Страница №4 из 10:
Увеличить