Официальное опубликование правовых актов
ОФИЦИАЛЬНОЕ ОПУБЛИКОВАНИЕ
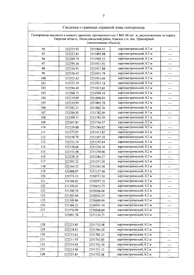
Постановление Правительства Тверской области от 07.07.2020 № 299-пп
"Об установлении охранной зоны газопровода"
Номер опубликования: 6900202007080009
Дата опубликования: 08.07.2020
Страница №7 из 14:
Увеличить