Постановление Правительства Тверской области от 02.06.2020 № 261-пп
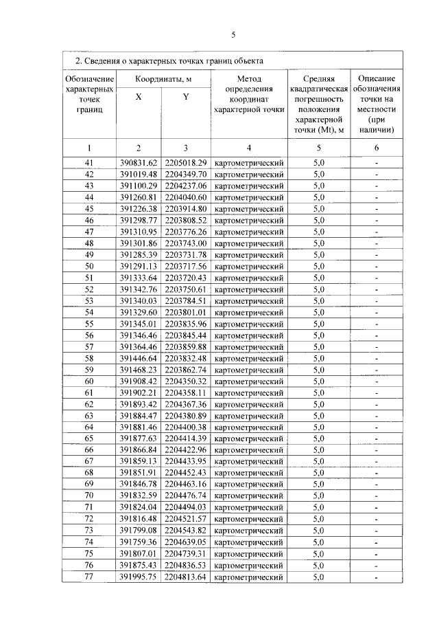
"Об утверждении графического описания местоположения границ особо охраняемой природной территории регионального значения – государственного природного заказника "Лесные массивы у оз. Песочное"
"Об утверждении графического описания местоположения границ особо охраняемой природной территории регионального значения – государственного природного заказника "Лесные массивы у оз. Песочное"
Номер опубликования: 6900202006040018
Дата опубликования:
04.06.2020
