Официальное опубликование правовых актов
ОФИЦИАЛЬНОЕ ОПУБЛИКОВАНИЕ
Постановление Правительства Тверской области от 30.05.2020 № 254-пп
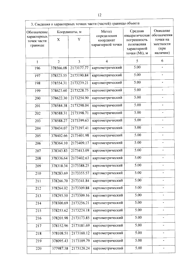
"Об утверждении графического описания местоположения границ особо охраняемой природной территории регионального значения - государственного природного заказника "Болото Борисовское, Шлинское"
Номер опубликования: 6900202006040006
Дата опубликования: 04.06.2020
Страница №12 из 20:
Увеличить