Официальное опубликование правовых актов
ОФИЦИАЛЬНОЕ ОПУБЛИКОВАНИЕ
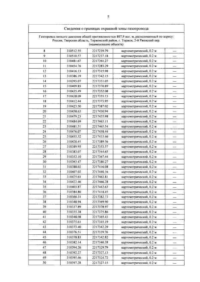
Постановление Правительства Тверской области от 23.04.2020 № 206-пп
"Об установлении охранной зоны газопровода"
Номер опубликования: 6900202004240012
Дата опубликования: 24.04.2020
Страница №5 из 9:
Увеличить