Официальное опубликование правовых актов
ОФИЦИАЛЬНОЕ ОПУБЛИКОВАНИЕ
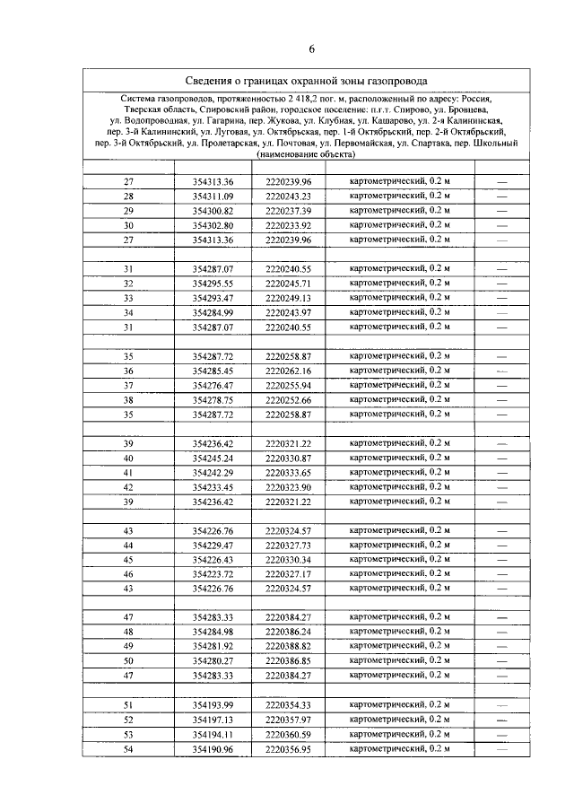
Постановление Правительства Тверской области от 23.04.2020 № 203-пп
"Об установлении охранной зоны газопровода"
Номер опубликования: 6900202004240007
Дата опубликования: 24.04.2020
Страница №6 из 26:
Увеличить