Официальное опубликование правовых актов
ОФИЦИАЛЬНОЕ ОПУБЛИКОВАНИЕ
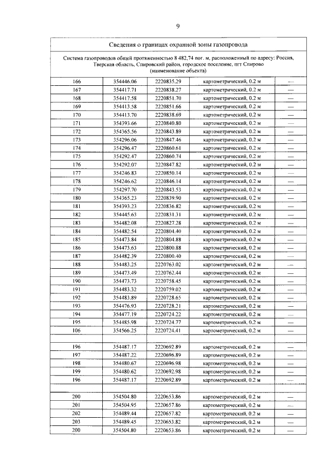
Постановление Правительства Тверской области от 17.04.2020 № 198-пп
"Об установлении охранной зоны газопровода"
Номер опубликования: 6900202004200004
Дата опубликования: 20.04.2020
Страница №9 из 43:
Увеличить