Официальное опубликование правовых актов
ОФИЦИАЛЬНОЕ ОПУБЛИКОВАНИЕ
Постановление Правительства Тверской области от 10.04.2020 № 173-пп
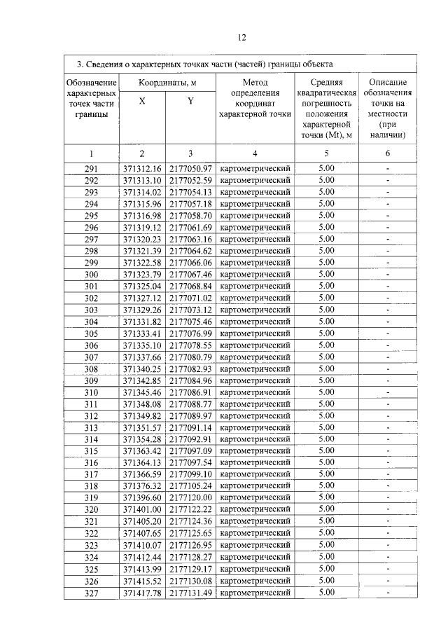
"Об утверждении графического описания местоположения границ особо охраняемой природной территории регионального значения - государственного природного заказника "Лесные массивы в междуречье рек Шлина, Крупица, Лонница"
Номер опубликования: 6900202004130034
Дата опубликования: 13.04.2020
Страница №12 из 30:
Увеличить