Официальное опубликование правовых актов
ОФИЦИАЛЬНОЕ ОПУБЛИКОВАНИЕ
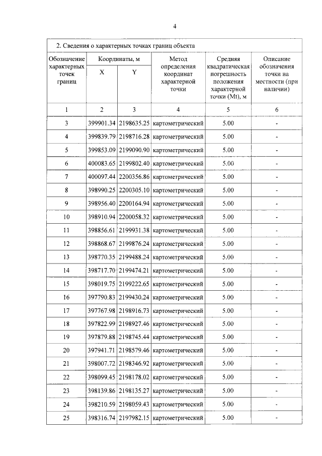
Постановление Правительства Тверской области от 10.04.2020 № 168-пп
"Об утверждении графического описания местоположения границ особо охраняемой природной территории регионального значения - государственного природного заказника "Прудовое хозяйство "Пуйга"
Номер опубликования: 6900202004130026
Дата опубликования: 13.04.2020
Страница №4 из 7:
Увеличить