Официальное опубликование правовых актов
ОФИЦИАЛЬНОЕ ОПУБЛИКОВАНИЕ
Постановление Правительства Тверской области от 10.04.2020 № 172-пп
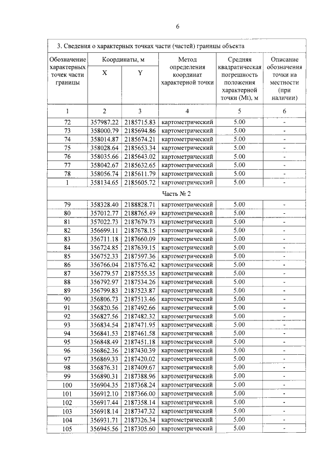
"Об утверждении графического описания местоположения границ особо охраняемой природной территории регионального значения - государственного природного заказника "Лесные массивы вдоль Вышневолоцкого водохранилища"
Номер опубликования: 6900202004130023
Дата опубликования: 13.04.2020
Страница №6 из 9:
Увеличить