Постановление Правительства Тверской области от 10.04.2020 № 169-пп
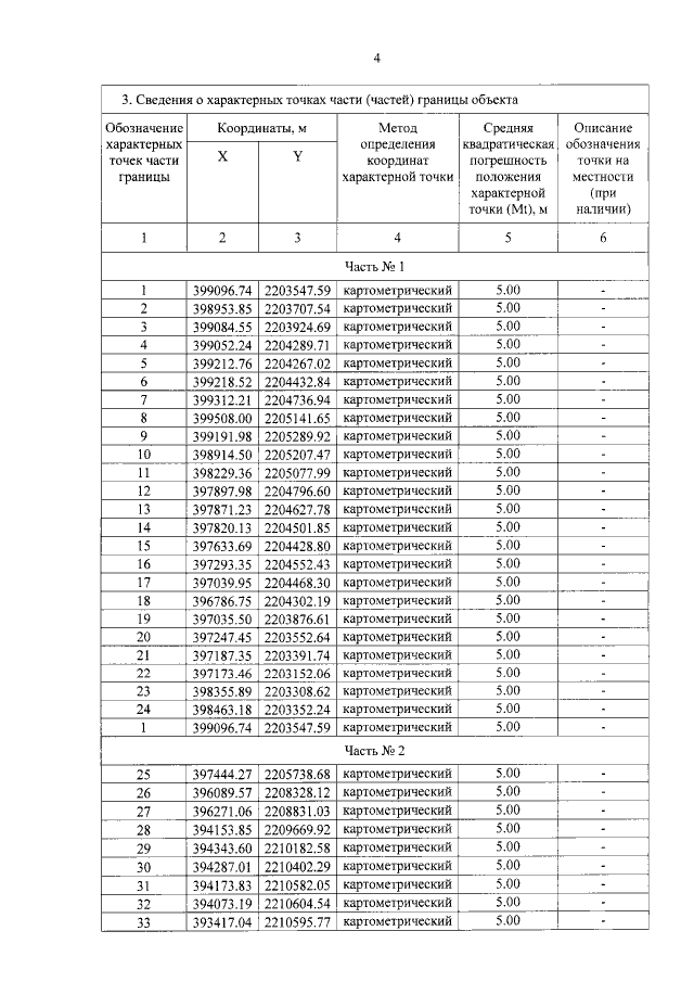
"Об утверждении графического описания местоположения границ особо охраняемой природной территории регионального значения - государственного природного заказника "Болото Болдихинское"
"Об утверждении графического описания местоположения границ особо охраняемой природной территории регионального значения - государственного природного заказника "Болото Болдихинское"
Номер опубликования: 6900202004130019
Дата опубликования:
13.04.2020
