Официальное опубликование правовых актов
ОФИЦИАЛЬНОЕ ОПУБЛИКОВАНИЕ
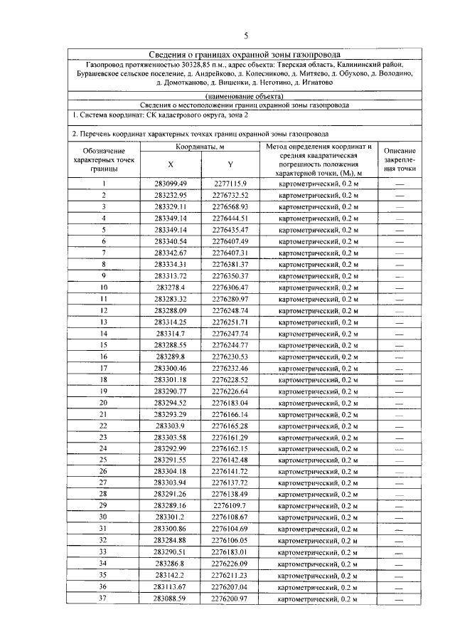
Постановление Правительства Тверской области от 26.03.2020 № 129-пп
"Об установлении охранной зоны газопровода"
Номер опубликования: 6900202003270008
Дата опубликования: 27.03.2020
Страница №5 из 81:
Увеличить