Постановление Правительства Тверской области от 12.02.2020 № 53-пп
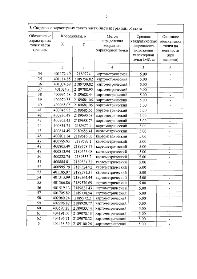
"Об утверждении графического описания местоположения границ особо охраняемой природной территории регионального значения — памятника природы "Озеро Желибье и лесные массивы вокруг него"
"Об утверждении графического описания местоположения границ особо охраняемой природной территории регионального значения — памятника природы "Озеро Желибье и лесные массивы вокруг него"
Номер опубликования: 6900202002140028
Дата опубликования:
14.02.2020
