Постановление Правительства Тверской области от 12.02.2020 № 47-пп
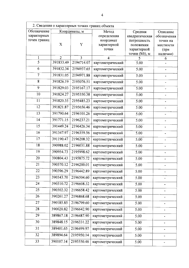
"Об утверждении графического описания местоположения границ особо охраняемой природной территории регионального значения — государственного природного заказника "Болото Гладкое"
"Об утверждении графического описания местоположения границ особо охраняемой природной территории регионального значения — государственного природного заказника "Болото Гладкое"
Номер опубликования: 6900202002140022
Дата опубликования:
14.02.2020
