Официальное опубликование правовых актов
ОФИЦИАЛЬНОЕ ОПУБЛИКОВАНИЕ
Постановление Правительства Тверской области от 12.02.2020 № 49-пп
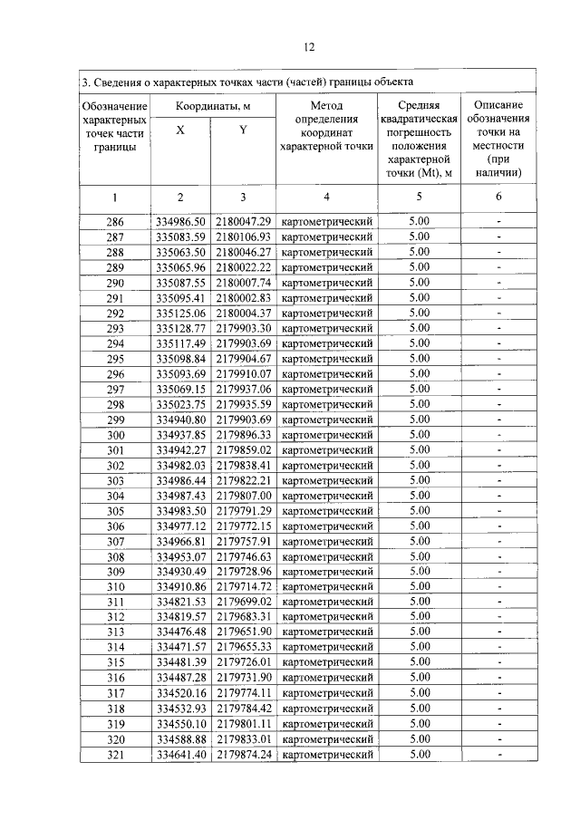
"Об утверждении графического описания местоположения границ особо охраняемой природной территории регионального значения — государственного природного заказника "Болото Коростовское"
Номер опубликования: 6900202002140020
Дата опубликования: 14.02.2020
Страница №12 из 16:
Увеличить