Официальное опубликование правовых актов
ОФИЦИАЛЬНОЕ ОПУБЛИКОВАНИЕ
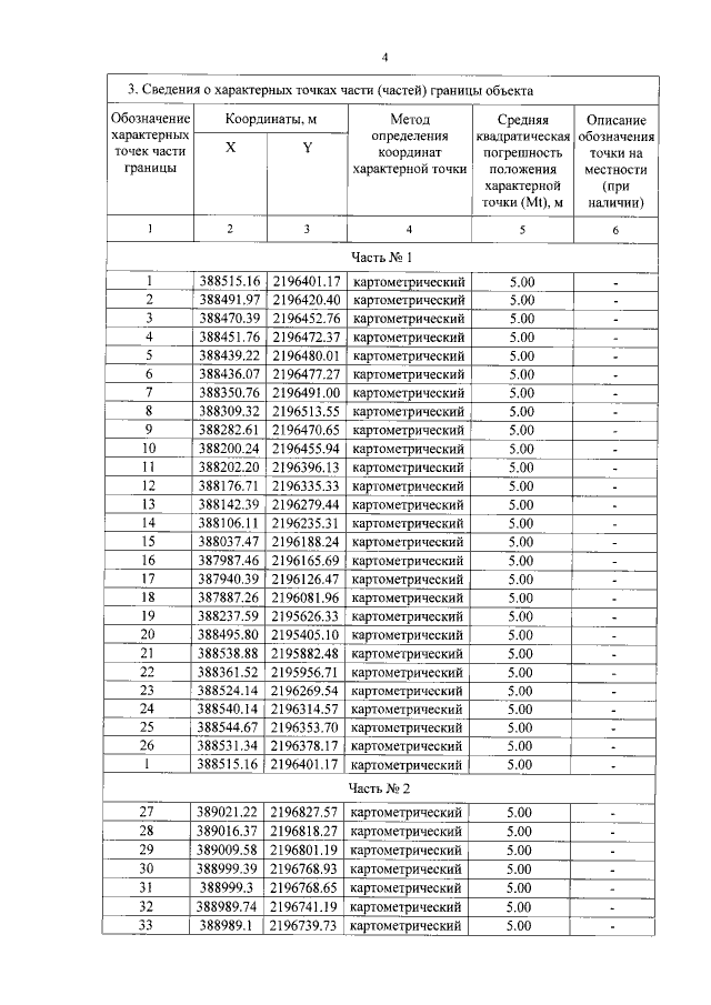
Постановление Правительства Тверской области от 24.12.2019 № 539-пп
"Об утверждении графического описания местоположения границ особо охраняемой природной территории регионального значения — государственного природного заказника "Болото Тверца"
Номер опубликования: 6900201912310024
Дата опубликования: 31.12.2019
Страница №4 из 8:
Увеличить