Официальное опубликование правовых актов
ОФИЦИАЛЬНОЕ ОПУБЛИКОВАНИЕ
Постановление Правительства Тверской области от 24.12.2019 № 542-пп
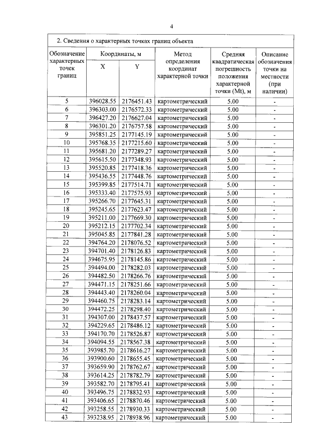
"Об утверждении графического описания местоположения границ особо охраняемой природной территории регионального значения — государственного природного заказника "Болото Урочище Лобынок"
Номер опубликования: 6900201912310022
Дата опубликования: 31.12.2019
Страница №4 из 7:
Увеличить