Постановление Правительства Тверской области от 24.12.2019 № 548-пп
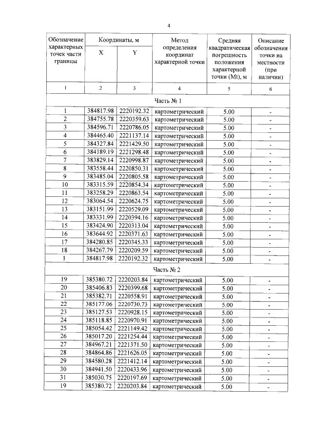
"Об утверждении графического описания местоположения границ особо охраняемой природной территории регионального значения — государственного природного заказника "Болото без названия в лесу"
"Об утверждении графического описания местоположения границ особо охраняемой природной территории регионального значения — государственного природного заказника "Болото без названия в лесу"
Номер опубликования: 6900201912310020
Дата опубликования:
31.12.2019
