Официальное опубликование правовых актов
ОФИЦИАЛЬНОЕ ОПУБЛИКОВАНИЕ
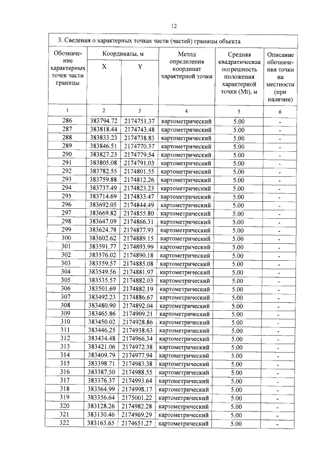
Постановление Правительства Тверской области от 24.12.2019 № 543-пп
"Об утверждении графического описания местоположения границ особо охраняемой природной территории регионального значения — государственного природного заказника "Болото у д. Коломно"
Номер опубликования: 6900201912310016
Дата опубликования: 31.12.2019
Страница №12 из 14:
Увеличить