Официальное опубликование правовых актов
ОФИЦИАЛЬНОЕ ОПУБЛИКОВАНИЕ
Постановление Правительства Тверской области от 24.12.2019 № 541-пп
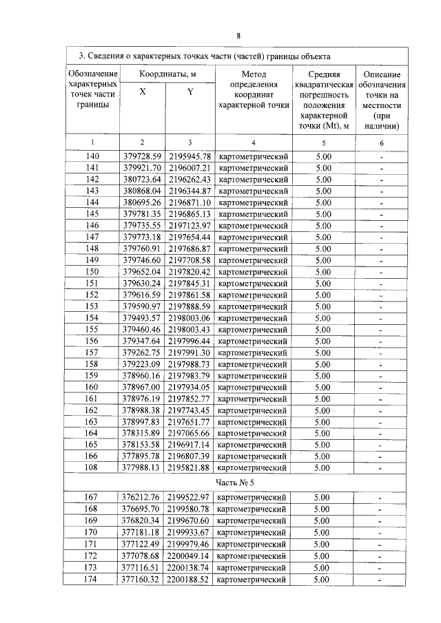
"Об утверждении графического описания местоположения границ особо охраняемой природной территории регионального значения — государственного природного заказника "Болото у озер Хутынь и Сорочье"
Номер опубликования: 6900201912310015
Дата опубликования: 31.12.2019
Страница №8 из 10:
Увеличить