Официальное опубликование правовых актов
ОФИЦИАЛЬНОЕ ОПУБЛИКОВАНИЕ
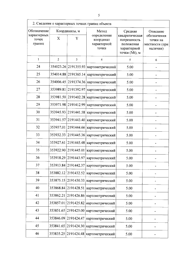
Постановление Правительства Тверской области от 24.12.2019 № 546-пп
"Об утверждении графического описания местоположения границ особо охраняемой природной территории регионального значения – государственного природного заказника "Водоохранный лесной массив вдоль реки Чамка"
Номер опубликования: 6900201912310013
Дата опубликования: 31.12.2019
Страница №5 из 10:
Увеличить