Официальное опубликование правовых актов
ОФИЦИАЛЬНОЕ ОПУБЛИКОВАНИЕ
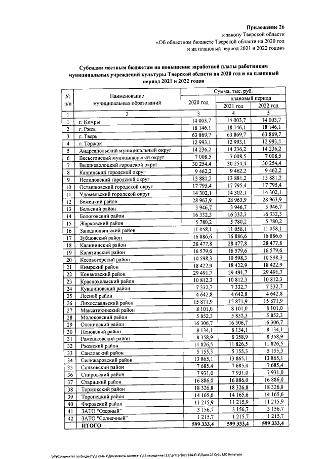
Закон Тверской области от 30.12.2019 № 102-ЗО
"Об областном бюджете Тверской области на 2020 год и на плановый период 2021 и 2022 годов"
Номер опубликования: 6900201912310001
Дата опубликования: 31.12.2019
Страница №603 из 686:
Увеличить