Официальное опубликование правовых актов
ОФИЦИАЛЬНОЕ ОПУБЛИКОВАНИЕ
Постановление Губернатора Тверской области от 18.09.2018 № 97-пг
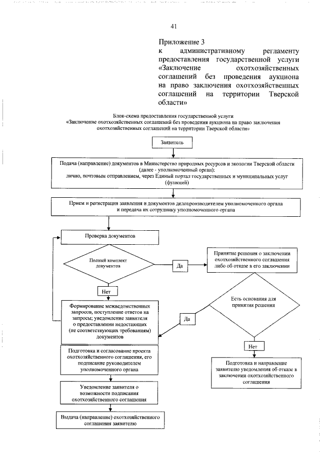
"Об утверждении административного регламента предоставления государственной услуги "Заключение охотхозяйственных соглашений без проведения аукциона на право заключения охотхозяйственных соглашений на территории Тверской области"
Номер опубликования: 6900201809190006
Дата опубликования: 19.09.2018
Страница №41 из 43:
Увеличить