Официальное опубликование правовых актов
ОФИЦИАЛЬНОЕ ОПУБЛИКОВАНИЕ
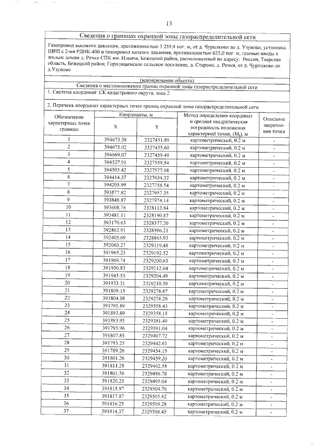
Постановление Правительства Тверской области от 09.04.2018 № 120-пп
"Об установлении охранных зон газораспределительных сетей"
Номер опубликования: 6900201804100003
Дата опубликования: 10.04.2018
Страница №13 из 102:
Увеличить