Официальное опубликование правовых актов
ОФИЦИАЛЬНОЕ ОПУБЛИКОВАНИЕ
Постановление Правительства Тверской области от 28.11.2017 № 400-пп
"О внесении изменений в постановление Правительства Тверской области от 30.12.2016 № 460-пп"
Номер опубликования: 6900201711290001
Дата опубликования: 29.11.2017
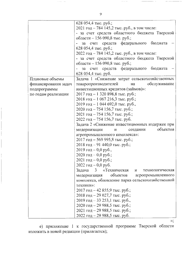
Страница №9 из 42:
Увеличить