Официальное опубликование правовых актов
ОФИЦИАЛЬНОЕ ОПУБЛИКОВАНИЕ
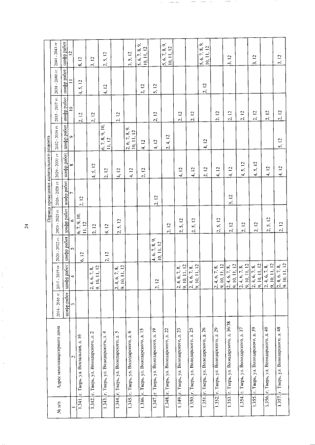
Постановление Правительства Тверской области от 07.11.2017 № 375-пп
"О внесении изменений в постановление Правительства Тверской области от 24.12.2013 № 690-пп"
Номер опубликования: 6900201711100003
Дата опубликования: 10.11.2017
Страница №24 из 648:
Увеличить