Официальное опубликование правовых актов
ОФИЦИАЛЬНОЕ ОПУБЛИКОВАНИЕ
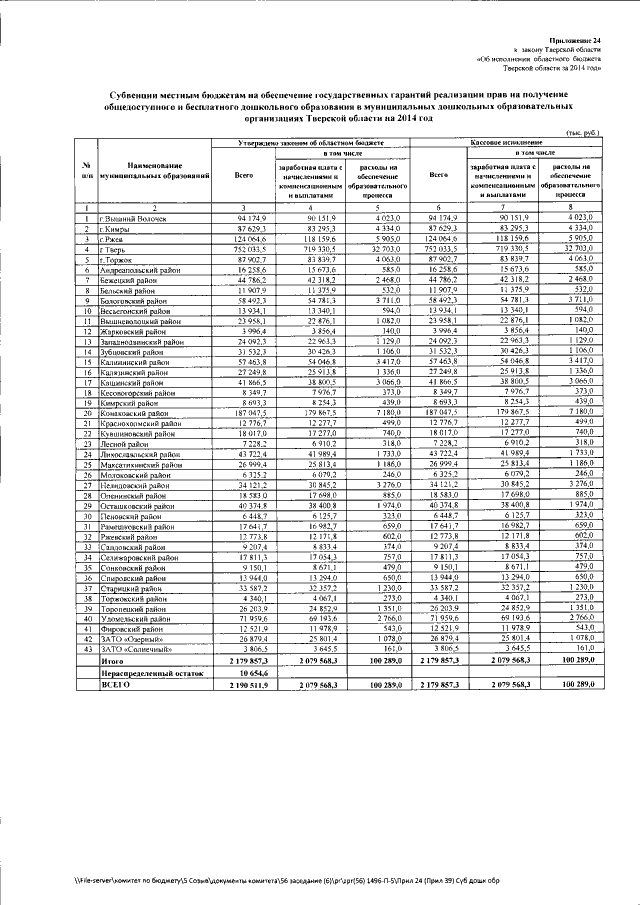
Закон Тверской области от 06.07.2015 № 48-ЗО
"Об исполнении областного бюджета Тверской области за 2014 год"
Номер опубликования: 6900201507080010
Дата опубликования: 08.07.2015
Страница №286 из 366:
Увеличить