Официальное опубликование правовых актов
ОФИЦИАЛЬНОЕ ОПУБЛИКОВАНИЕ
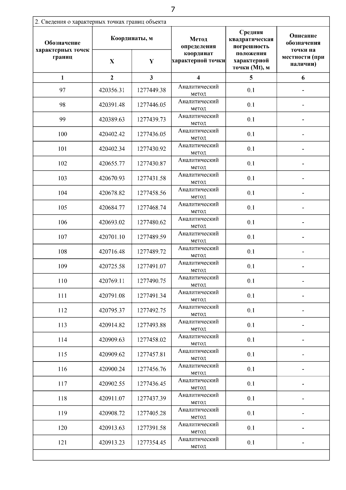
Приказ Министерства имущественных отношений и государственного заказа Тамбовской области от 10.04.2026 № 195
"Об установлении охранных зон сетей газораспределения и наложении ограничений (обременений) на входящие в них земельные участки"
(Зарегистрирован 10.04.2026 № 195)
Номер опубликования: 6801202604150005
Дата опубликования: 15.04.2026
Страница №47 из 53:
Увеличить