Официальное опубликование правовых актов
ОФИЦИАЛЬНОЕ ОПУБЛИКОВАНИЕ
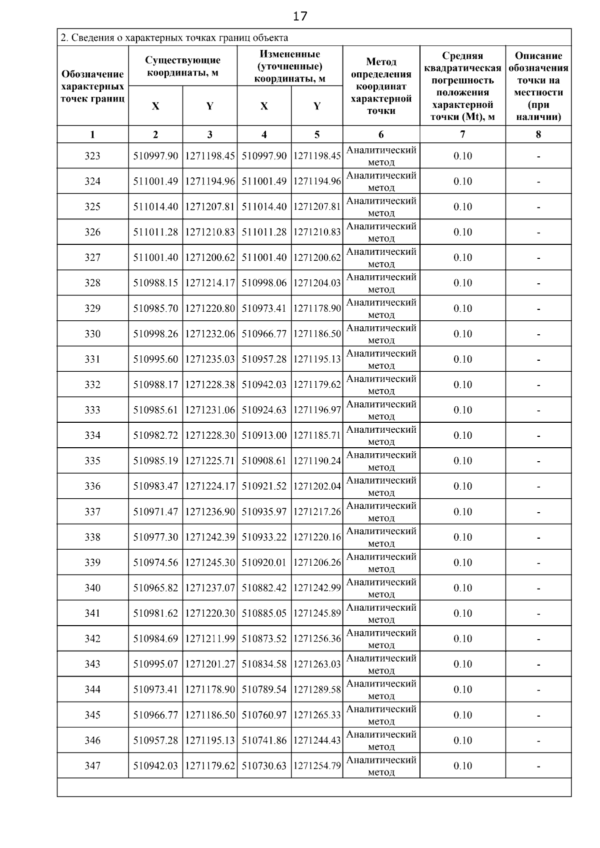
Приказ Министерства имущественных отношений и государственного заказа Тамбовской области от 02.04.2026 № 175
"О внесении изменений в приложение к приказу министерства имущественных отношений и государственного заказа Тамбовской области от 29.09.2025 № 731 "Об изменении охранной зоны газопровода и наложении ограничений (обременений) на входящие в нее земельные участки"
(Зарегистрирован 02.04.2026 № 175)
Номер опубликования: 6801202604080002
Дата опубликования: 08.04.2026
Страница №19 из 21:
Увеличить