Официальное опубликование правовых актов
ОФИЦИАЛЬНОЕ ОПУБЛИКОВАНИЕ
Приказ Министерства имущественных отношений и государственного заказа Тамбовской области от 20.02.2026 № 65
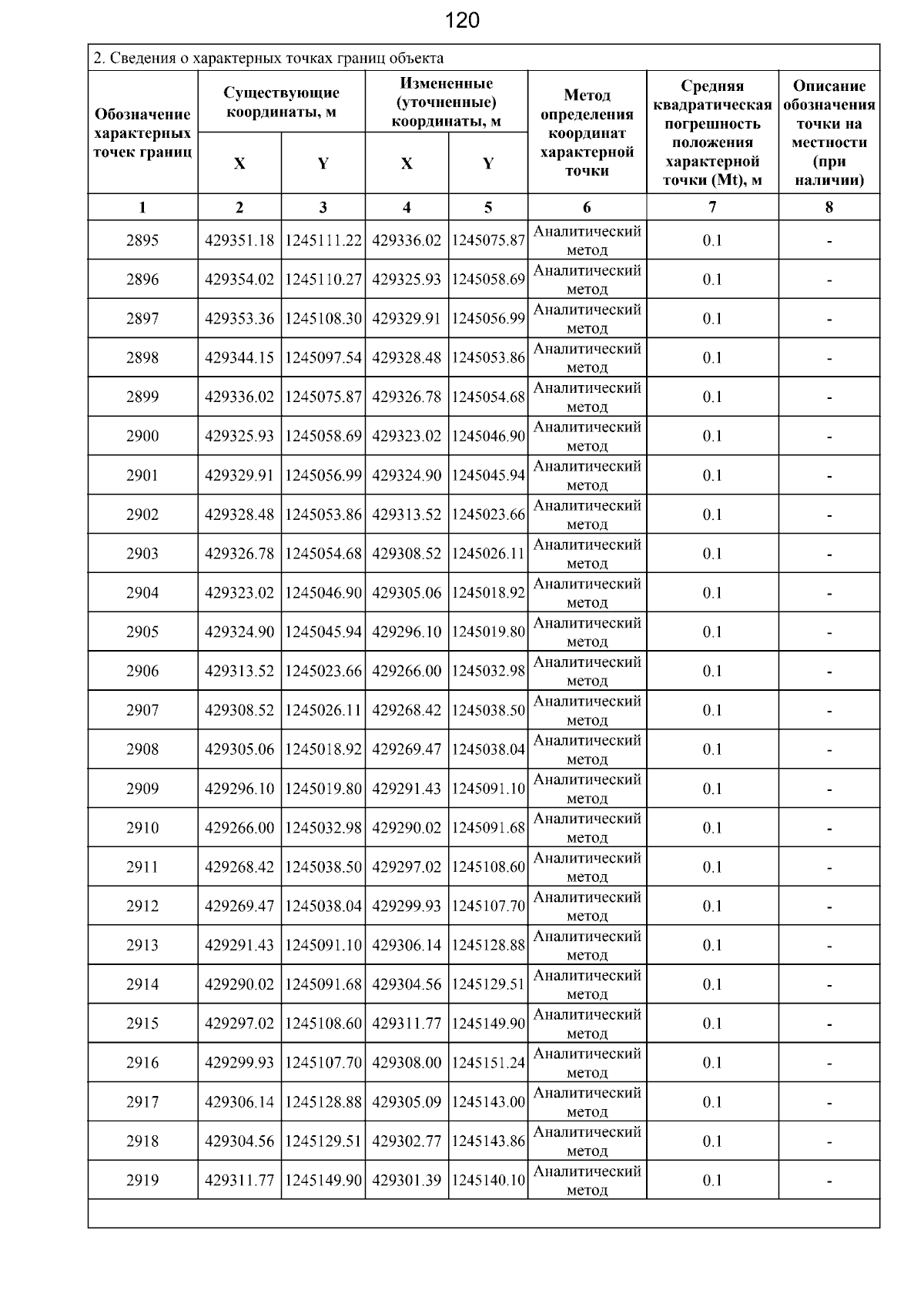
"О внесении изменений в приложение к приказу комитета по управлению имуществом Тамбовской области от 07.07.2021 № 496 "Об изменении охранной зоны газопровода и наложении ограничений (обременений) на входящие в нее земельные участки"
(Зарегистрирован 20.02.2026 № 65)
Номер опубликования: 6801202602250004
Дата опубликования: 25.02.2026
Страница №122 из 742:
Увеличить