Официальное опубликование правовых актов
ОФИЦИАЛЬНОЕ ОПУБЛИКОВАНИЕ
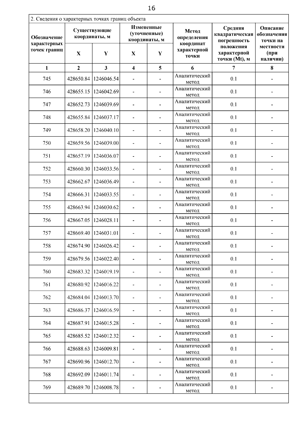
Приказ Министерства имущественных отношений и государственного заказа Тамбовской области от 12.02.2026 № 56
"О внесении изменений в приложение к приказу комитета по управлению имуществом Тамбовской области от 07.07.2021 № 491 "Об изменении охранной зоны сети газораспределения и наложении ограничений (обременений) на входящие в нее земельные участки"
(Зарегистрирован 12.02.2026 № 56)
Номер опубликования: 6801202602170001
Дата опубликования: 17.02.2026
Страница №18 из 121:
Увеличить