Официальное опубликование правовых актов
ОФИЦИАЛЬНОЕ ОПУБЛИКОВАНИЕ
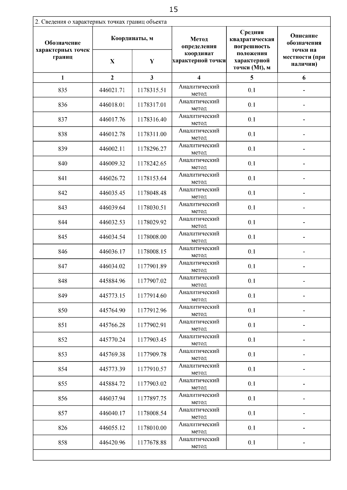
Приказ Министерства имущественных отношений и государственного заказа Тамбовской области от 23.12.2025 № 969
"Об установлении охранных зон сетей газораспределения и наложении ограничений (обременений) на входящие в них земельные участки"
(Зарегистрирован 23.12.2025 № 969)
Номер опубликования: 6801202512290032
Дата опубликования: 29.12.2025
Страница №18 из 102:
Увеличить