Официальное опубликование правовых актов
ОФИЦИАЛЬНОЕ ОПУБЛИКОВАНИЕ
Приказ Министерства имущественных отношений и государственного заказа Тамбовской области от 16.12.2025 № 934
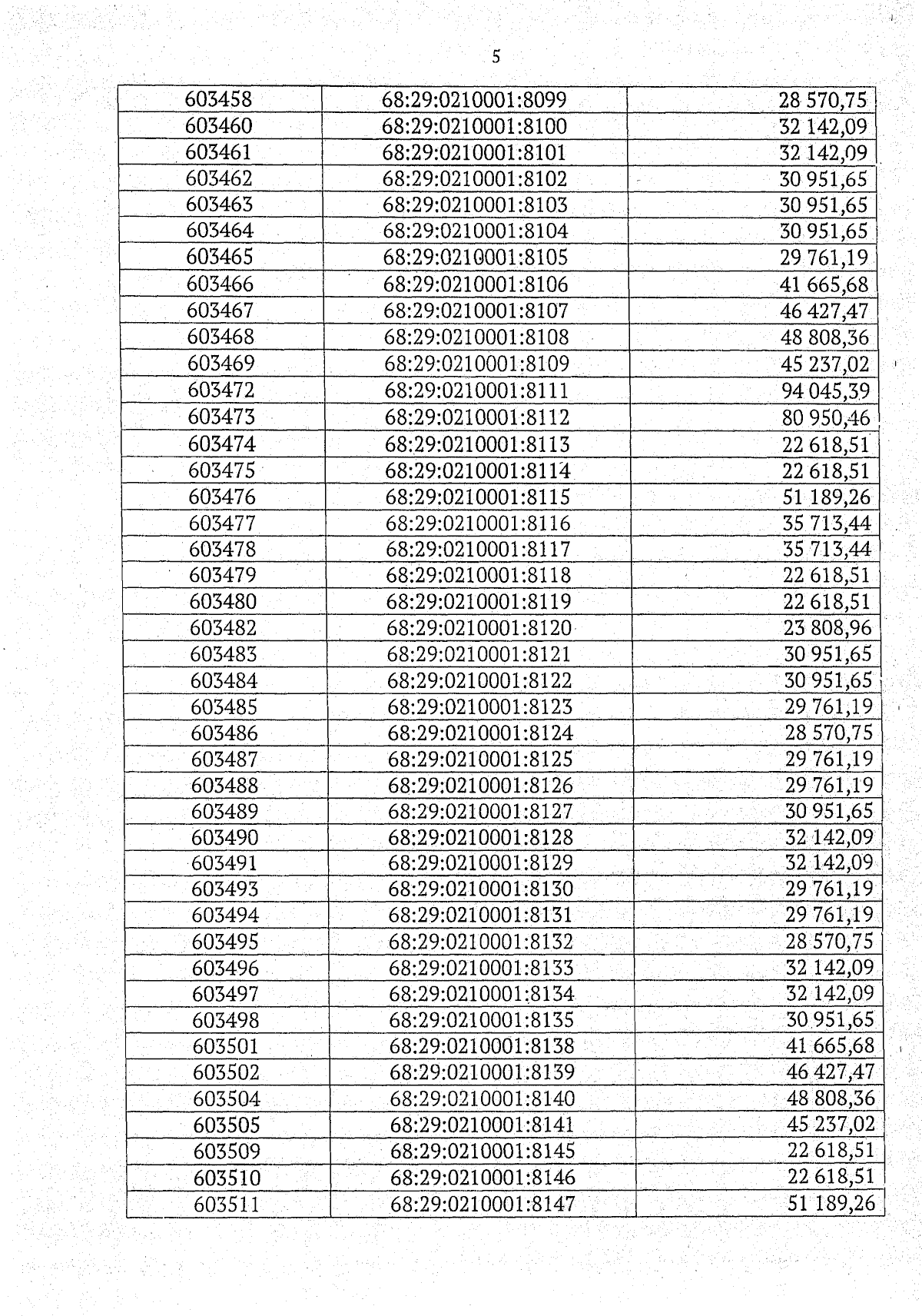
"О внесении изменений в приложение к приказу министерства имущественных отношений и государственного заказа Тамбовской области от 16.10.2023 № 585 "Об утверждении результатов определения кадастровой стоимости зданий, помещений, сооружений, объектов незавершенного строительства, машино-мест, расположенных на территории Тамбовской области"
(Зарегистрирован 16.12.2025 № 934)
Номер опубликования: 6801202512190001
Дата опубликования: 19.12.2025
Страница №5 из 7:
Увеличить