Приказ Департамента по государственной охране объектов культурного наследия Тамбовской области от 11.12.2025 № 393
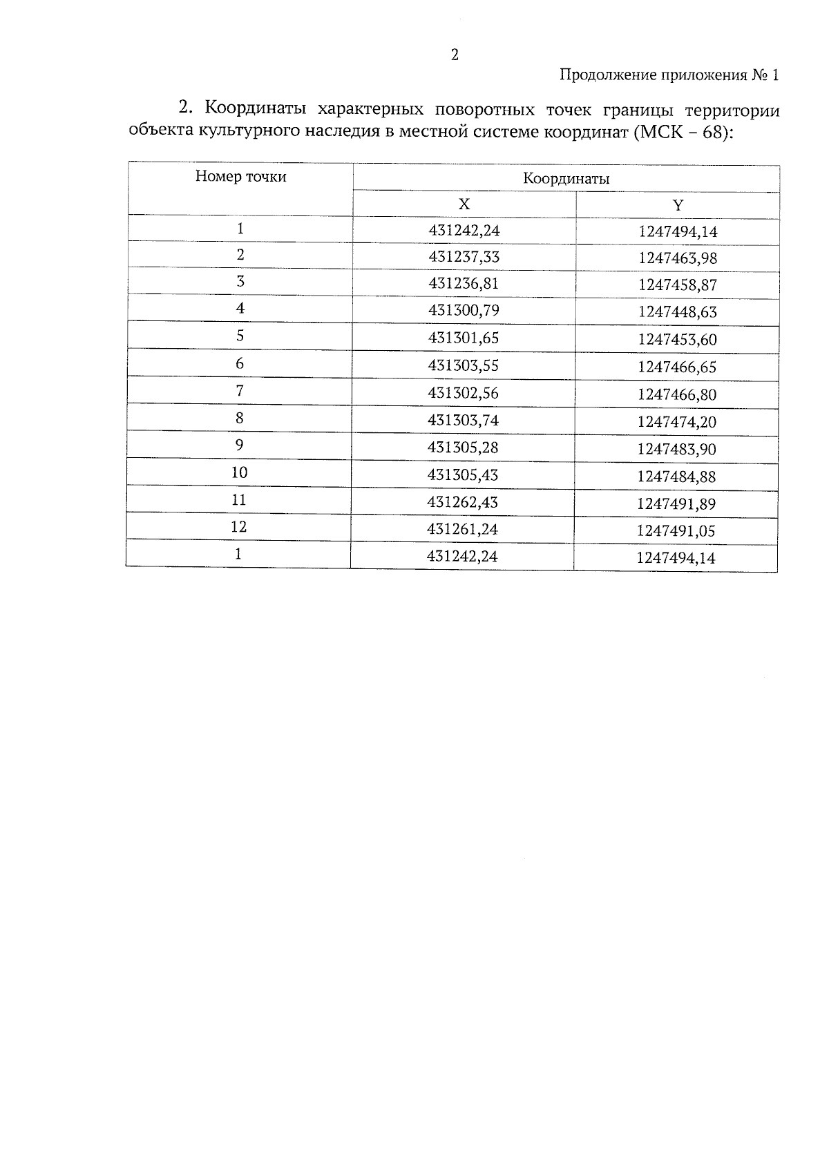
"О включении выявленного объекта культурного наследия "Доходный дом" (Тамбовская область, г. Тамбов, ул. Базарная/ул. Октябрьская, д. 107/35) в единый государственный реестр объектов культурного наследия (памятников истории и культуры) народов Российской Федерации в качестве объекта культурного наследия регионального значения, утверждении границ территории объекта культурного наследия и режима ее использования"
(Зарегистрирован 11.12.2025 № 393)
"О включении выявленного объекта культурного наследия "Доходный дом" (Тамбовская область, г. Тамбов, ул. Базарная/ул. Октябрьская, д. 107/35) в единый государственный реестр объектов культурного наследия (памятников истории и культуры) народов Российской Федерации в качестве объекта культурного наследия регионального значения, утверждении границ территории объекта культурного наследия и режима ее использования"
(Зарегистрирован 11.12.2025 № 393)
Номер опубликования: 6801202512120002
Дата опубликования:
12.12.2025
