Официальное опубликование правовых актов
ОФИЦИАЛЬНОЕ ОПУБЛИКОВАНИЕ
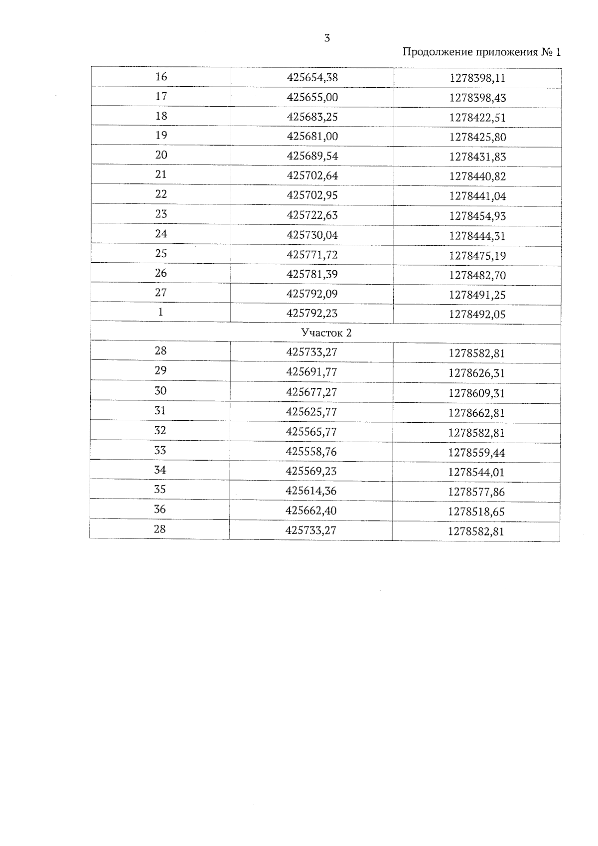
Приказ Департамента по государственной охране объектов культурного наследия Тамбовской области от 12.11.2025 № 366
"Об установлении зон охраны объекта культурного наследия регионального значения "Дом жилой" (Тамбовская область, г. Рассказово, ул. Комитетская, д. 20) и утверждении требований к градостроительным регламентам в границах территорий данных зон"
(Зарегистрирован 12.11.2025 № 366)
Номер опубликования: 6801202511140005
Дата опубликования: 14.11.2025
Страница №5 из 10:
Увеличить