Официальное опубликование правовых актов
ОФИЦИАЛЬНОЕ ОПУБЛИКОВАНИЕ
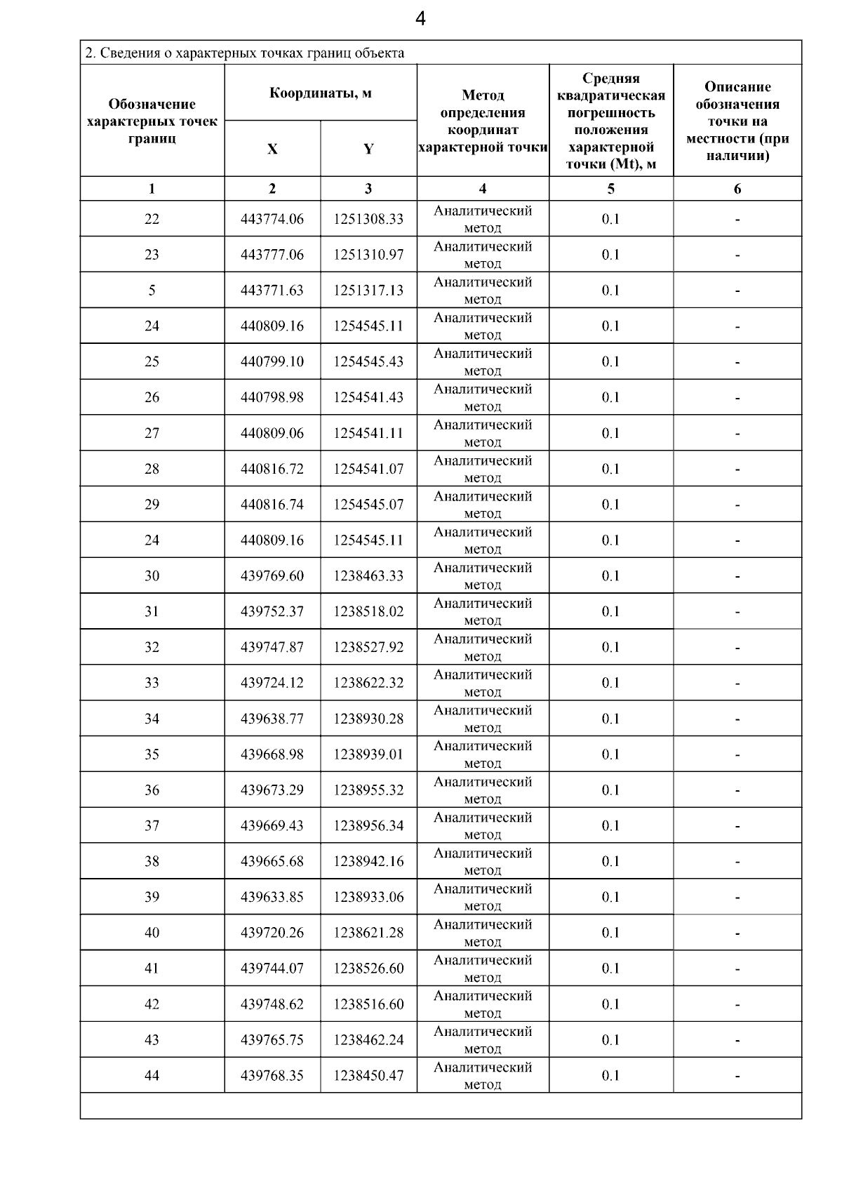
Приказ Министерства имущественных отношений и государственного заказа Тамбовской области от 21.10.2025 № 781
"Об установлении охранных зон газораспределительных сетей и наложении ограничений (обременений) на входящие в них земельные участки"
(Зарегистрирован 21.10.2025 № 781)
Номер опубликования: 6801202510240004
Дата опубликования: 24.10.2025
Страница №6 из 27:
Увеличить