Официальное опубликование правовых актов
ОФИЦИАЛЬНОЕ ОПУБЛИКОВАНИЕ
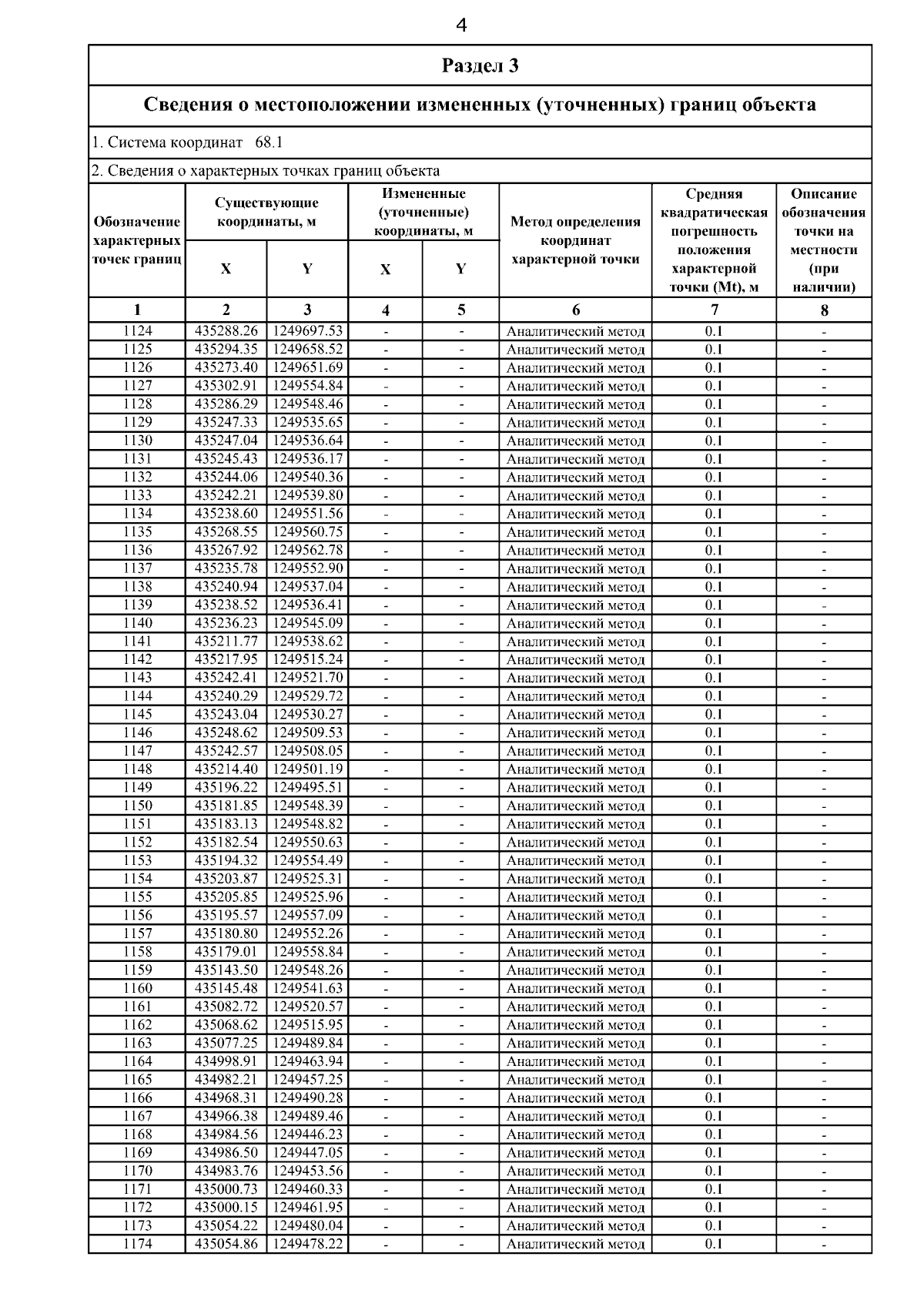
Приказ Министерства имущественных отношений и государственного заказа Тамбовской области от 29.09.2025 № 730
"О внесении изменений в приказ министерства имущественных отношений и государственного заказа Тамбовской области от 28.06.2023 № 320 "Об изменении охранной зоны сети газораспределения и наложении ограничений (обременений) на входящие в нее земельные участки"
(Зарегистрирован 29.09.2025 № 730)
Номер опубликования: 6801202510020004
Дата опубликования: 02.10.2025
Страница №6 из 152:
Увеличить