Официальное опубликование правовых актов
ОФИЦИАЛЬНОЕ ОПУБЛИКОВАНИЕ
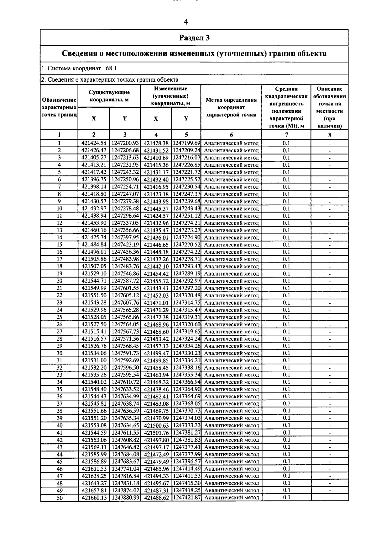
Приказ Министерства имущественных отношений и государственного заказа Тамбовской области от 16.06.2025 № 435
"Об изменении охранной зоны газопровода и наложении ограничений (обременений) на входящие в нее земельные участки"
(Зарегистрирован 16.06.2025 № 435)
Номер опубликования: 6801202506190006
Дата опубликования: 19.06.2025
Страница №6 из 21:
Увеличить