Официальное опубликование правовых актов
ОФИЦИАЛЬНОЕ ОПУБЛИКОВАНИЕ
Приказ Министерства имущественных отношений и государственного заказа Тамбовской области от 15.05.2025 № 338
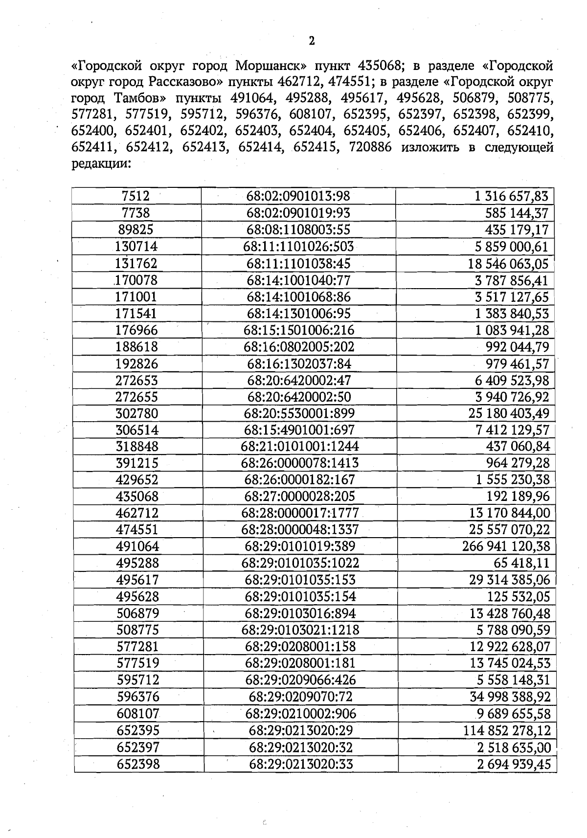
"О внесении изменений в приложение к приказу министерства имущественных отношений и государственного заказа Тамбовской области от 16.10.2023 № 585 "Об утверждении результатов определения кадастровой стоимости зданий, помещений, сооружений, объектов незавершенного строительства, машино-мест, расположенных на территории Тамбовской области"
(Зарегистрирован 15.05.2025 № 338)
Номер опубликования: 6801202505190011
Дата опубликования: 19.05.2025
Страница №2 из 3:
Увеличить