Официальное опубликование правовых актов
ОФИЦИАЛЬНОЕ ОПУБЛИКОВАНИЕ
Приказ Министерства имущественных отношений и государственного заказа Тамбовской области от 09.04.2025 № 246
"О внесении изменений в приказ министерства имущественных отношений и государственного заказа Тамбовской области от 26.07.2023 № 375 "Об изменении охранной зоны сети газораспределения и наложении ограничений (обременений) на входящие в нее земельные участки"
(Зарегистрирован 09.04.2025 № 246)
Номер опубликования: 6801202504160005
Дата опубликования: 16.04.2025
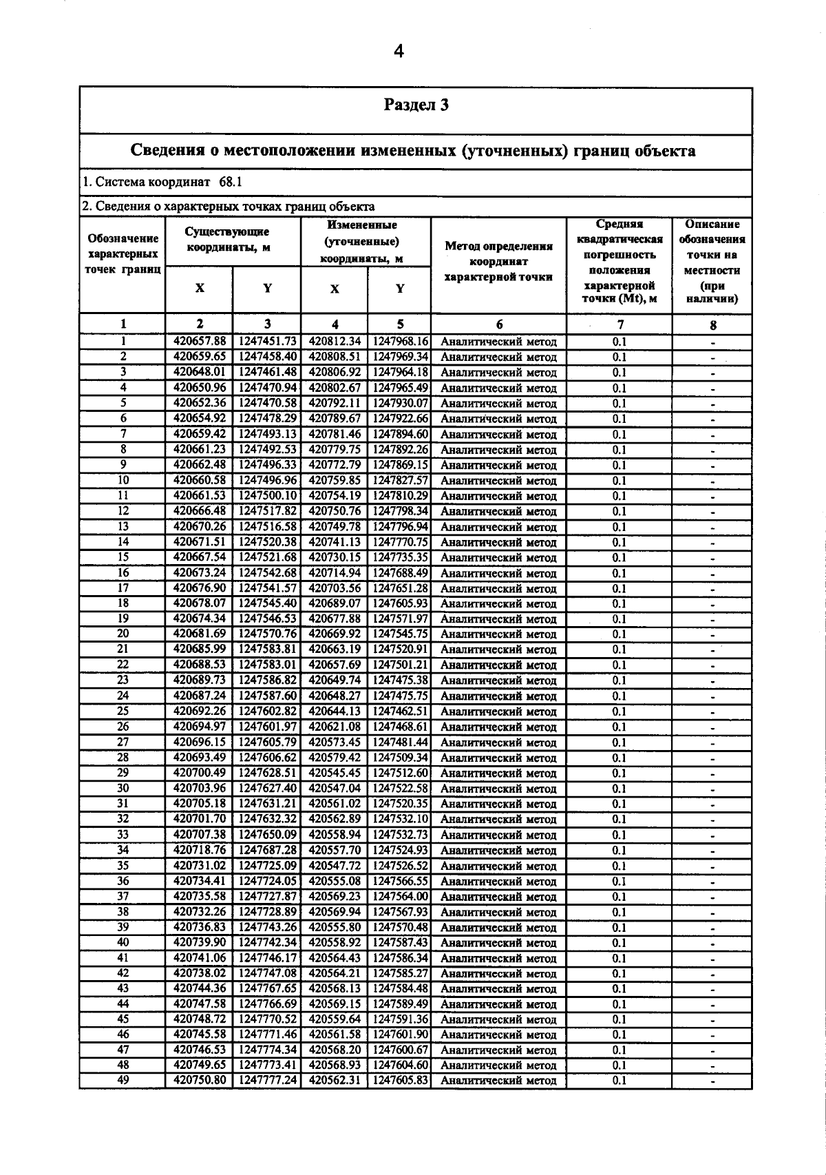
Страница №6 из 51:
Увеличить