Официальное опубликование правовых актов
ОФИЦИАЛЬНОЕ ОПУБЛИКОВАНИЕ
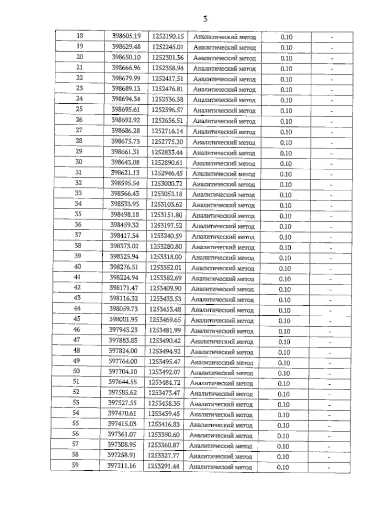
Приказ Министерства экологии и природных ресурсов Тамбовской области от 02.04.2025 № 90
"Об установлении границ и режима зон санитарной охраны действующего водозабора общества с ограниченной ответственностью "Русагро-Тамбов"
(Зарегистрирован 02.04.2025 № 90)
Номер опубликования: 6801202504040003
Дата опубликования: 04.04.2025
Страница №23 из 35:
Увеличить