Приказ Министерства имущественных отношений и государственного заказа Тамбовской области от 19.03.2025 № 196
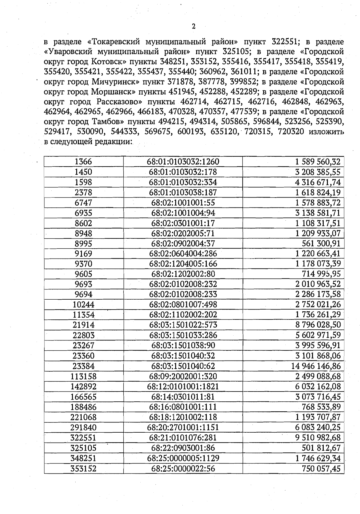
"О внесении изменений в приложение к приказу министерства имущественных отношений и государственного заказа Тамбовской области от 16.10.2023 № 585 "Об утверждении результатов определения кадастровой стоимости зданий, помещений, сооружений, объектов незавершенного строительства, машино-мест, расположенных на территории Тамбовской области"
(Зарегистрирован 19.03.2025 № 196)
"О внесении изменений в приложение к приказу министерства имущественных отношений и государственного заказа Тамбовской области от 16.10.2023 № 585 "Об утверждении результатов определения кадастровой стоимости зданий, помещений, сооружений, объектов незавершенного строительства, машино-мест, расположенных на территории Тамбовской области"
(Зарегистрирован 19.03.2025 № 196)
Номер опубликования: 6801202503240008
Дата опубликования:
24.03.2025
