Официальное опубликование правовых актов
ОФИЦИАЛЬНОЕ ОПУБЛИКОВАНИЕ
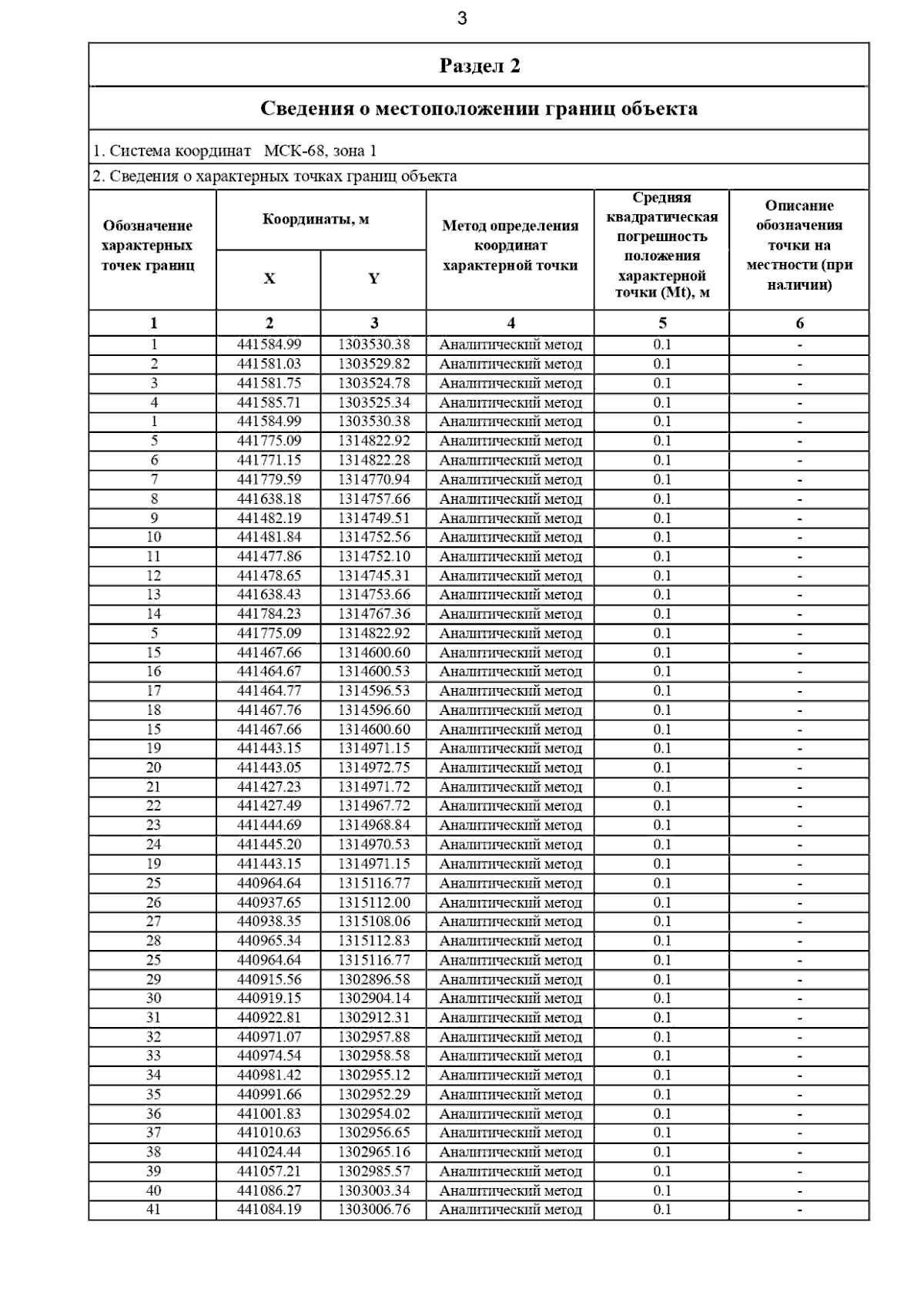
Приказ Министерства имущественных отношений и государственного заказа Тамбовской области от 13.03.2025 № 158
"Об установлении охранных зон газораспределительных сетей и наложении ограничений (обременений) на входящие в них земельные участки"
(Зарегистрирован 13.03.2025 № 158)
Номер опубликования: 6801202503200014
Дата опубликования: 20.03.2025
Страница №28 из 48:
Увеличить